2019년04월06일 8번
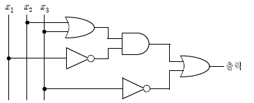
[과목 구분 없음] 다음 논리 회로의 출력과 동일한 것은?

-
①
-
②
-
③
-
④
(정답률: 55%)
문제 해설